特長

新開発36×24mmフルフレームCMOSイメージセンサーを搭載

このカメラのために新規開発された36×24mm(6K×4K)フルフレームイメージセンサーを搭載し、さまざまな撮影フォーマットでの撮影が可能。フルフレーム、Super35mm、4:3アナモフィックなど、さまざまな読出しモードを搭載し、多様なコンテンツ制作に対応します。

※ フルフレームおよびアナモフィックモードでの撮影には別売のフルフレームライセンスおよびアナモフィックライセンスが必要となります
※ ライセンスは無期限、30日間、7日間の有効期間から選択して購入することが可能です

映画制作のための美しい映像

VENICEは映画やドラマ、CMで使われることを前提に、これらに特化して作られています。柔らかく繊細な描写や、なめらかなスキントーン、美しい色再現など観衆をスクリーンに引き込む美しい映像を紡ぎ出します。

被写界深度

センサーサイズと比例して被写界深度は浅くなります。 VENICEの36×24mmフルフレーム(*)センサーは、Super35mmと比較して1 - 2絞り分被写界深度が浅くなり、レンズの絞り値に余裕を持つことができます。

* 別売のフルフレームライセンスが必要です

アナモフィック対応

4パーフォレーション4:3アナモフィックおよび6:5アナモフィックに対応。シネマスコープ作品の制作はもちろんのこと、アナモフィックレンズ独特のレンズ効果を活用したさまざまなコンテンツ制作が可能となります。また一般的な4:3アナモフィックモードではポスト作業でデ・スクイーズ後に両端をカットする必要がありますが6:5アナモフィックモードはその必要がありません。撮影画素をそのまま使用することができ、より高品質なシネマスコープ作品を制作することができます。

※ アナモフィック撮影には別売のアナモフィックライセンスが必要となります

15stop+のワイドラチチュードと低ノイズを実現

15ストップ+の広大なラチチュードを実現。ハイライト部から暗部まで幅広い輝度条件の下で低ノイズで美しい映像をキャプチャーすることができ、グレーディング作業において高い自由度をもたらします。

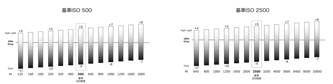
Dual Base ISO

ISO 500とISO 2500の2つの基準ISO感度を持つデュアル・ベースISOを搭載。一般のビ デオカメラでは、ISO 500に対してISO 2500はゲインアップに伴い大幅にノイズが増加しますが、デュアル・ベースISOによりISO500とISO2500時のノイズはほぼ同じです。明るい環境下ではISO 500を使用し、暗いシーンではISO 2500を使用することによりノイズを抑えたクリアな映像表現が可能となります。

BT.2020を超える広色域

VENICEはBT.2020、DCI-P3を超える色域をカバーします。ソニーが定義するワイドカラースペースS-Gamut3を搭載し、S-Log3を活用することによりグレーディング時の自由度が飛躍的に向上します。

ハイフレームレート(HFR)撮影

印象的なスローモーション映像を実現するHFR撮影機能を搭載しています。

※ 別売のハイフレームレートライセンスが必要です。6Kは別売フルフレームライセンス、4K 6:5/4:3は別売アナモフィックライセンスも必要となります
※ AXSメモリーでの収録となります。SxSメモリーでの収録時は最大60fpsとなります
※ ハイフレームレート撮影モード時、4Kスルーアウト出力の映像が乱れる場合があります(記録映像には影響ありません)

RM/RCPによるペイントコントロール

リモートコントローラーの接続が可能で、BT.2020色域やHLGガンマカーブを選択することができ、ペイント機能の様々なパラメーターを制御することができます。

コンパクトなボディと直観的な操作感

VENICEは、ソニー独自の小型化技術によりフルフレーム大型イメージセンサーを搭載しながらコンパクトな筐体を実現しており、狭いスペースでの撮影やドローン搭載時の利便性を向上させています。操作ボタンは直観的な操作を実現するために場所、形状、サイズを徹底的に検討して配置されており、また暗所撮影を考慮しバックライトを備えています。インターフェースは4K 出力(SDI×4)に加え、HDモニター出力(SDI×1)を備え、オンセットのモニタリング機能が強化されています。電源入出力は12V、24Vのいずれにも対応することができ、DC24V出力はフィッシャーを採用。幅広いアクセサリがサポートされます。ビューファインダー用端子には高い堅牢性を持つLEMOを採用しています。

モジュラー構造

VENICEは完全なモジュラー設計となっており、撮影用途に合わせさまざまなリグや周辺機器との組み合わせに柔軟に対応することができます。レンズとのバランスや使い方に合わせてトップハンドルとビューファインダーは簡単にポジション調整が可能です。光軸高はPMW-F55と同じなのでPMW-F55用の周辺機器を活用することが可能です。後部には別売のポータブルメモリーレコーダーAXS-R7を4本のネジにより強固に固定することができます。

PLおよびEマウントに対応

デフォルトでPLマウントを搭載。PLマウント部を取り外すことによりEマウント(レバーロックタイプ)を使用することができます。Eマウントによりスチル系のレンズを使用することができ超広角レンズなど様々な個性を持ったレンズを使用することも可能となります。

世界初(*)8ポジション光学式NDフィルター

VENICEは、このクラスでは世界初の8ポジション光学式NDフィルターを採用しています。Clear、0.3 (1/2ND=1ストップ)、0.6、0.9、1.2、1.5、1.8、2.1、2.4(1/256ND=8ストップ)の広範囲のNDを備えており、外部NDフィルターを交換する手間を省きます。このNDフィルターはサーボ制御となっており、クレーン撮影等でのリモート操作が可能です。

* 2017年9月7日時点において(ソニー調べ)

現場での運用を考えた、シンプルで直感的なメニュー操作

VENICEは、メニュー画面をカメラの両側に設置し、メイン操作部はカメラのアウトサイドに配置しています。これにより撮影現場でカメラアシスタントが設定操作を素早く行うことができます。インサイドの有機ELミニディスプレイは、NDポジション、シャッター、FPS、ホワイトバランス、EI値など、頻繁に使う設定を簡単に操作でき、またカメラマンがステータスを確認するのにも便利です。メニュー構成はカメラマンからのフィードバックを徹底的に研究、構築したものでシンプルかつ直観的な操作が可能です。

VENICE Camera Simulator

「VENICE Camera Simulator」は下記のよりアクセスできます。

※ Sony Globalのサイトにリンクします

※ 注意事項
動作ブラウザ:Google Chrome 63以上、Safari 10以上

※ 制限事項
・RECボタン、ユーザーメニュー、フルメニュー、TC /メディア、モニタリング、オーディオ、詳細メニューはシミュレートされません。取扱説明書を参照ください
・本シミュレータは全て実機と同様に動作することを保証するものではありません
・別売のポータブルメモリーレコーダー AXS-R7、フルフレームライセンスCBKZ-3610A、アナモフィックライセンスCBKZ-3610F、ハイフレームレートライセンス CBKZ-3610Hがインストールまたは装着された状態をシュミレートしています
・本体ファームウェアVer.5.01シュミレートしています

高い堅牢性

過酷な現場での使用を想定し筐体はマグネシウム合金を採用。コネクターにはLemoを採用し、電気系とは分離したベンチレーションシステムを搭載するなど、優れた可用性を確保しています。

フルHD(1920×1080)有機ELビューファインダー

0.7型有機ELビューファインダー DVF-EL200(別売)は高解像度、高コントラストの1920×1080フルHD有機ELパネルを搭載し、ドット・バイ・ドットでの拡大フォーカスに対応。フルフレームでの撮影で要求される微細なフォーカシングが可能です。ロータリーエンコーダーを搭載しブライトネス、ピーキング、コントラストの調整が可能で、コネクターには業界標準のLEMOを採用し優れた堅牢性を持ちます。工具不要でカメラからクイックに脱着できる機構を採用し、収納時の利便性も向上しています。

多彩な運用を可能にするカメラヘッド延長システム

VENICEエクステンションシステム
CBK-3610XS
希望小売価格 1,500,000円+税

・ VENICEと組み合わせることによりカメラヘッドを最大5.5m延長(*)
・ システム装着状態でカメラヘッド部質量1.9kg(PLマウント時)/1.4kg(Eマウント時)と超軽量
・ エクステンションシステムへの変更はユーザー自身で可能

* 付属ケーブルで2.7m、付属延長ケーブルを連結することにより5.5m

ARTファイル

RAW Viewerを使用し、ユーザー3D LUTファイル(.cube)から独自のARTファイル(.art)(Advanced Rendering Transform)を生成。.artファイルをVENICEにインポートすることにより、ユーザー3D LUTファイル使用時と比べて、より高画質なモニタリングを実現します。

レコーディングフォーマット

VENICEはポータブルメモリーレコーダー AXS-R7(別売)との組み合わせでAXSメモリーカード(別売)にX-OCNまたはRAWで記録できます。またVENICE本体のみで、4K XAVC、HD ProRes、MPEG HDフォーマットでSxSメモリーカード(別売)に収録することができます。

※ スキャニングモードにより記録可能なフォーマットは異なります

■X-OCN
X-OCNは15ストップ+の広大なラチチュードでとらえた情報を、階調豊かな16bitのシーンリニアデータで記録することが可能です。RAWとほぼ同等画質となるX-OCN STは660Mbps(4K 24p収録時 / X-OCN LTは389Mbps)とRAWに対して約30%(X-OCN LTは約60%)軽量なデータサイズを実現しており、VENICEの6Kコンテンツをファイル転送時間とストレージサイズの面で実用的なものにし、ポストプロダクションでの作業において優れた効率性を提供します。また、さらなる高画質へのご要望に対応し965Mbps(4K 24p時)のビットレートでRAWを超える画質を実現するX-OCN XTを搭載しています。

■RAW
RAWファイルは16ビットリニアデータで記録することができ、一般的な12ビットRAWと比較し16倍の階調で4K収録が可能です。

■XAVC
XAVCは非常に優れた圧縮効率によりコンパクトなファイルサイズと4:2:2 10bit記録による高い色再現性と諧調性をあわせ持つフォーマットです。XAVC Class480およびClass300をサポートしています。

■ProRes
Apple ProRes 422およびProRes Proxyフォーマットをサポートしています。

<記録時間>

<記録フォーマット/スキャニングモード/ビットレート>

※ 5.7K、6Kは別売フルフレームライセンスが、4K 4:3、4K 6:5は別売アナモフィックライセンスが必要です
※ 太字記載部分の収録にはAXSメモリーS48シリーズ(AXS-A512S48/A1TS48S)が必要です

同時記録

VENICEは多くの同時記録モードを備えており、ポストでのファイル変換作業をすることなく、オンライン編集にはAXS-R7(別売)によって記録されたRAW / X-OCNを使用し、オフライン編集にはXAVC、ProRes、MPEG HDを使用することができます。VENICEはXAVC 4KとRAW / X-OCNを同時に記録することも可能でXAVC 4Kをメインフォーマットとして使用しつつ、RAW / X-OCNを最高品質のアーカイブや将来のHDR制作用途として同時に記録することができます。また本体のSxSメモリーカードにXAVC 4KとProResプロキシを同時に記録することもできます。VENICEは、最高品質の映像と高速なワークフローの両方をサポートできるよう設計されています。

システム構成図

Unreal Engine 用Plugin “Camera and Display Plugin”に対応

バーチャルプロダクション向けソフトウェアツールセット Virtual Production Tool SetのCamera and Display Pluginに対応しています。Virtual Production Tool Setは カラー調整やモアレ回避などでプリプロダクションから撮影時までインカメラVFXのバーチャルプロダクションワークフローを効率化し、クリエイターの創造的な映像制作をサポートするソフトウェアです。

Virtual Production Tool Set
・Unreal Engine 用プラグイン Camera and Display Plugin(カメラ・ディスプレイプラグイン)
・Windows用アプリケーション Color Calibrator(カラーキャリブレータ―)

関連コンテンツ

FR7 スペシャルコンテンツ
FX9 Voice
α Movie Special Contents
ラージセンサーカメラ サイトマップ
ラージセンサーカメラ
ラージセンサーカメラ